Trade Name
UV Stabilizer XH 292
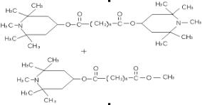
Chemical Name
The active substance is a mixture of bis (1,2,2,6,6-pentamethyl-4-piperdimyl)-sebacate and
1-(Methyl)-8-(1,2,2,6,6-pentamethyl-4-piperidinyl)-sebacate
CAS Number
41556-26-7  82919-37-7
Molecular structure
Specificatiomn

Appearance:            slight yellow liquid
Transmittance:         ≥95%(425nm), ≥98%(500nm)
Volatile (m/m)          ≤0.15%
Purity (m/m):            ≥97.0 %
Ash (m/m):               ≤0.10 %
Applications
Hindered amine light stabilizer. Mainly used in coatings, printing ink and polyurethane lacquer, preventing
coating from blowing-out and surface peering-off with better effect for mobile coating. It has cooperative
effect with UV absorbent of benzotriazo.
Storage
Because it easily absorbs moisture, XH 292 should be sealed and stored in dry places.
Package
Packed in Zn drum with net 180 kg.
Chemtech International, LLC